
Publicaciones Estudiantiles
Roberto Pezo Diaz
Title: Conservacion de la Diversidad en Ecosistemas Inundables
Area: Atlantic International University
Country: Honolulu, Hawaii
Program: Curriculum Development
Avialable for Download: Yes
TABLE OF CONTENT
- INTRODUCCIÓN
- CONSERVACIÓN DE LA DIVERSIDAD DE FLORA
- MANEJO DE AGUAJE
- MANEJO DE CAMU CAMU
- MANEJO DE CAPIRONA
- MANEJO DE PLANTAS MEDICINALES Y FLORES
- CONSERVACIÓN DE LA DIVERSIDAD DE FAUNA SILVESTRE
- MANEJO DE PRIMATES EN ISLAS
- MANEJO DE ROEDORES
- POLÍTICAS DE CONSERVACIÓN DE LA DIVERSIDAD BIOLÓGICA
- NACIONALES
- INTERNACIONALES
- CONCLUSIONES
- OPINIÓN PERSONAL Y APORTES
- REFERENCIAS BIBLIOGRÁFICAS
La diversidad biológica en los ecosistemas inundables de la amazonia es alta, en relación a otros ecosistemas inundables de otras partes del hemisferio. Las zonas inundables cuentan con especies de flora y de fauna de importancia socioeconómica para el poblador rural como para el mercado internacional, razón por la cual ha sufrido mucha extracción de especies maderables quedando algunas especies en situación vulnerable como el caso de la caoba. Como consecuencia de esta sobre explotación tanto de plantas como de animales de caza los ecosistemas inundables no pueden cumplir sus funciones ecológicas en su plenitud afectando a especies acuáticas ya los procesos ecológicos de la cuenca, al clima y finalmente al ser humano.
En esta asignatura se analiza los principales actividades productivas que se están desarrollando en ecosistemas inundables como alternativas para la conservación de la diversidad biológica y otras oportunidades para obtener ingresos por parte de los pobladores rurales ribereños. Las lecciones aprendidas y los errores que deben ser corregidos si se pretende manejar sosteniblemente de los recursos naturales de esta parte de la amazonia.
Por otra parte se mencionan las políticas nacionales e internacionales mas relevantes con relación al uso y conservación de la diversidad biológica de los ecosistemas inundables, las recomendaciones de los organismos internacionales para la aplicación del nuevo enfoque del desarrollo.
Finalmente se hace una critica a los proyectos antes mencionados y las observaciones in situ por parte del autor sobre las lecciones aprendidas y que se debe hacer o tener cuenta en el fomento de tal o cual actividad de aprovechamiento del recurso natural.
A continuación se describe las experiencias de manejo de algunas especies botánicas de interés social y económico, social por que es un recurso de uso popular y ancestral, y económico por que en la actualidad se comercializa los productos en diferentes formas o etapas de transformación, generando muchos puestos de trabajo.
MANEJO DE AGUAJE
El aguaje (Mauritia flexuosa), es una palmera que habita en los suelos hidromorfos y pantanos donde está bién adaptados a las condiciones de agua permanente, las raíces cuenta con neumatóforos para obtener oxígeno del aire atmosférico, esta especie son dioicas es decir hay plantas masculinas y plantas femeninas, en rodales naturales el sex ratio es aproximadamente 1:1 , pero en la actualidad en gran parte de los rodales de aguaje la proporción de machos se ha incrementado debido al tipo de cosecha que hacían los extractores de aguaje: talar los árboles con frutos para aprovechar uno o dos racimos de fruto y los otros tres o cuatro se perdía por que estaban verdes.
Existe otra especies que habita de suelos arenosos de tierra firme, cuyo nombre científico es Mauritia carana, pero que no se analiza en este documento por que no es de ecosistemas inundables.
El fruto del aguaje se emplea para la elaboración de refrescos, helados, dulces y otros dulces., los peciolos de las hojas de aguaje sirven para confeccionar “esteras” tipo persianas que se usan para decorar paredes o cielo raso. El tronco caído sirve para la crianza de coleópteros cuyas larvas son empleadas en la alimentación humana por un gran sector de la población especialmente los de origen indígenas
En condiciones naturales los tallos de los árboles viejo sirven para la preparación de nidos de aves del grupo de los Psittacidae (loros y guacamayos).
Técnicas de manejo
Las mejores experiencias son aquella que manejan rodales naturales a través de cosechas seleccionados por las condiciones del racimo. La técnica consiste en emplear cuerdas a la altura de la cintura y los muslos de la persona que permite tener dos puntos de apoyo sobre el árbol el cual se va desplazando conforme se va subiendo.
Cuando la persona está arriba puede seleccionar y cortar el racimo que está para la cosecha y dejar los demás para ser cosechado en su debido momento de esta forma se mantiene el árbol productivo.
Junto a este procedimiento algunas personas dispersan frutos maduros al azar alrededor de los árboles semilleros, en número equivalente al 10 % del total del racimo, esta práctica tienen dos resultaos importantes:
a) permite que haya nuevas plántulas en sus mismas condiciones que de sus padres.
b) la presencia de frutos maduros en el suelo en los rodales de aguaje atrae a especies de fauna cinegética silvestre como Agouti paca “majas”, Tapirus terrestris “sachavaca” . Pezo, R. (2005).
Esta forma de manejar los rodales de aguaje por parte de las comunidades ribereñas, incluyen a cientos de hectáreas en el río marañón y parte del río Ucayali.
La alternativa de repoblar ambientes que han sido talados y cuya población actual es predominantemente masculino se torna interesante para recuperar muchos “aguajales”, la producción de plantones en almacigos están siendo estudiados en la actualidad en la Universidad Nacional de la amazonia peruana a partir de semillas pero la dificultad para producir solamente plantones femeninos es todavía desconocido. La posibilidad de producción de plántulas empleando la biotecnología mediante cultivo de tejidos es una alternativa viable sin embargo las consecuencias ante las plagas es conocido en plantas iguales y se estaría afectando la variablidad genética de esta especies que en la actualidad cuenta con cinco variedades plenamente identificados en las características externas de los frutos.
Angulo, J (2005), menciona que todavía no es posible identificar a las plantas femeninas a temprana edad por lo que es necesario hacer un seguimiento de las características morfológicas en especimenes que se hayan determinado el sexo por vía molecular.
Otra experiencia exitosa por los resultados hasta hoy observados es el cultivo de “Husai”, “palmito” Euterpe precatoria, especie que es cultivada para industria de envasado de las hojas tiernas antes de que se expongan al sol. En la actualidad debido a la creciente demanda del mercado internacional, una empresa privada esta incrementando los sombríos a cinco mil has, en zonas inundables del río amazonas Carrasco. P. (2005).
Otro uso del palmito el tallo en ripas para la construcción de paredes de casas rurales y en la industria del parquet.
Es una especie que a partir del quinto año de sembrado esta apto para la cosecha tal como se ha observado en plantaciones cercanas a la ciudad de Iquitos y que han sido reportados por Pezo (2005). En cuanto a la siembra no hay los problemas del aguaje por las plantas son monoicas, es decir tienen flores femeninas y masculinas, crece en zonas inundables y producen varios plantones por germinación de meristemo del tallo de la planta, en forma vegetativa.
Otra palmera que es manejada pero por comunidades indígenas es el “ungurahui”, Oenocarpus batahua, que ha sido reportada por Aguilar (2005). Esta especie a pesar de ser empleada también en la amazonía peruana pero aun no esta siendo manejadas como rodales o sombríos establecidos para tal fin.
MANEJO DE CAMU CAMU
Existen dos especies de “camu camu”, una es Myciaria dubia y la otra especies es Myrciaria paraensis, conocidos también como “camu camu arbusto” y “camu camu árbol” respectivamente (Pinedo 2003). Estas especies crecen en las zonas inundables a orillas de quebradas o ríos de aguas claras y negras, debido a las oscilaciones del nivel de las aguas de los ríos la fenología depende de estas oscilaciones de tal manera que fructifica en vaciante al inicio de la fase de creciente, lo que permite observar a veces arbustos sumergidos cuyos frutos aprovechan los peces para su alimentación especialmente los carácidos migradores.
En la actualidad el Instituto de Investigaciones de la Amazonía Peruana-IIAP, cuenta con un proyecto de manejo de esta especie en zonas inundables donde tienen colecciones de diferentes lugares de la amazonía peruana. Pinedo et al. (2003), menciona que el tiempo de producción desde la siembra hasta la primera cosecha demora tres años y con rendimiento de 200 a 300 kg/ha., mientras que Ique (2004) indica que la producción en la zona de la Isla Muyuy alcanza hasta 1,500 kg/ha/año. El mismo autor menciona que parcelas de Myrciaria dubia, que tienen una antigüedad de 23 años continúan produciendo en cantidades muy satisfactorias, con un rendimiento promedio de 3.5 toneladas por hectárea sembrada.
Debido al alto contenido de ácido ascórbico que supera a los cítricos en la concentración de la misma, se ha convertido en un producto requerido por los mercados internacionales, lo que ha motivado que en algunos países como Brasil y Perú se fomente el cultivo de este frutal nativo de zonas inundables estableciéndose incluso en zonas no inundables con resultados de rendimiento por debajo de su ambiente natural y con problemas de control de plagas entre otros aspectos negativos para las plantaciones. En la amazonía peruana se han sembrado alrededor de cinco mil ha, en diferentes ambientes tanto en ecosistemas inundables como en ecosistemas no inundables, aledaños a ríos de agua blanca y a ríos de aguas negras Pinedo et al. (2003).
En la actualidad solo quedan 200 ha., y de ellas se pueden considerar exitosos 30 ha., dentro de las plantaciones de “camu camu” como monocultivo, Pinedo et al (2005). Es importante mencionar que las plantaciones exitosas están ubicadas en zonas inundables por aguas blancas en el río Ucayali, los mayores fracasos observados fue en las plantaciones ubicados en zonas no inundables.
La mayor producción continua extrayéndose de los rodales naturales,. El fomento del cultivo de camu camu en las zonas inundables ha tenido que considerar una serie de costos que el poblador rural no puede asumir debido a sus escasos recursos económicos disponibles y la poca asistencia técnica por parte del estado y la no perseverancia del poblador rural ha traído como consecuencia que un porcentaje muy bajo de agricultores continúen hasta la actualidad y 30 ha en producción.
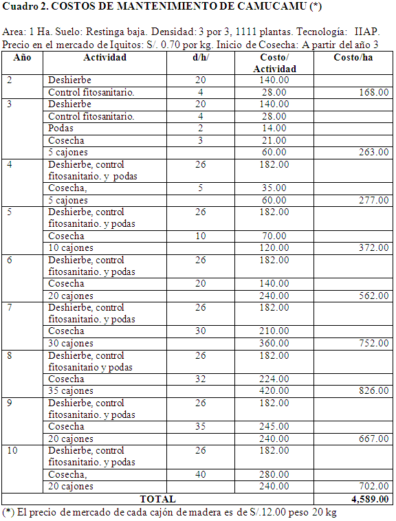
Para tener una idea de los costos de instalación de una hectárea de camu camu en zonas inundables se presenta el cuadro 1 y los costos de mantenimiento de la plantación en el cuadro 2..Como se puede observar los costos iniciales son los mas altos
Como podrá observarse cuando se establecen los cultivos aparecen las plagas por lo que es necesario el control fitosanitario, esto es un problema que esta siendo estudiado ya que en su medio natural esta especie no tienen mayores problemas de plagas por la inundación periódica. Cuando es sembrado en tierra firme es decir en zonas no inundables se incrementan los insectos que atacan a estas especies y el rendimiento por ha, es muy bajo.
MANEJO DE CAPIRONA
La especie Callycophylum spruceanum es la especie típica de los ecosistemas inundables cuya madera es apreciada como leña por los pobladores rurales y como madera para la industria de muebles por los madereros citadinos, por su calidad ha estado sometido a extracción permanente motivo por el cual se han iniciado algunos programas tendientes al manejo de esta especie con fines comerciales presentándose como una alternativa más para los pobladores ribereños de la cuenca del amazonas.
Es importante indicar que esta especie crece muy bien en suelos inundables debido a la buena calidad de nutrientes de los suelos aluviales recientes y subrecientes depositados por las aguas blancas, como la del río amazonas, ucayali, marañón entre otros.
Desde el punto de vista de la sucesión vegetal en las riberas inundables de los ríos de aguas blancas, la capirona ocupa el cuarto estrato en la sucesión horizontal respecto al río, en primer lugar está Paspalum sp., “gramalote”,en segundo lugar está Gynerium sagitatum, “caña brava”, en tercer lugar está Tessaria integrifolia “pájaro bobo” y en cuarto lugar Calycophyllum spruceanum “capirona”. Estas especies tienen la característica de formar rodales densos que permiten de igual manera el cultivo en densidades altas tal como sugiere Garcia et al (2005) con aproximadamente 1 000 especimenes por ha., la ventaja de esta especies en el caso de la amazonía peruana es que tiene varios usos como son lo siguientes:
- Como leña
- Como carbón
- Como madera redonda para la construcción de casas (vigas, soleras, caibros etc.).
- Como madera aserrada para la confección de muebles de oficina.
- Para la elaboración de parquet.
Debido a estas ventajas comparativas García et al (2005), menciona que a partir del tercer año de siembra es posible su aprovechamiento como caibros para la construcción de techos de casa. Con el fin de conocer los costos de instalación de ha de plantaciones muestra en detalle en el cuadro 3.
MANEJO DE PLANTAS MEDICINALES Y FLORES
Este es otro rubro del uso de la diversidad biológica en zonas inundables el cultivo de plantas medicinales aprovechando las costumbres ancestrales de emplear plantas para el tratamiento de una serie de enfermedades a bajo costo. Generalmente los bajos precios hace que sea de consumo popular.
Las especies cultivadas son de rápido crecimiento y generalmente herbáceos con algunos arbustos y pocos árboles. En algunos casos se emplean solamente las hojas en otros casos las raíces en el caso de árboles es frecuente el uso de la corteza, látex y resinas y muy poco las flores y frutos.
Algunas especies vegetales tienen múltiples usos desde alimenticios maderables y medicinales, por lo que su situación está indeterminada debido a la intensa explotación, ante esta situación los pobladores que se ubican cercanas a las urbes están cultivando muchas especies de plantas medicinales por que les permite tener ingresos adicionales, pero es importante indicar que estas plantaciones son a nivel de huertas familiares que no cubren en algunos casos un cuarto de ha .
Tello y García (2003) reportan la cantidad de especies que se comercializan en los mercados de Iquitos en forma permanente, muchas de ellas crecen como mala hierba por lo que su manejo es mucho mas sencillo que otras. A continuación se muestra una lista de las principales especies de uso medicinal que provienen de zonas inundables, ver cuadro 6:
Kvist. 2005, menciona que varias especies de plantas de la zona inundable son medicinales y que en pruebas de laboratorio han demostrado tener actividad sobre malaria y Leishmania y estas son las siguientes:
Para tratamiento de la malaria:
Euterpe precatoria
Aspidosperma rigidum
Aspisdosperma excelsum
Curarea tucunarum
Para Leismaniasis
Maytenus macrocarpa
Sonilax spp
Spondias mombim
Minquartia guianensis
De estas especies solamente Spondias mombim forma parte del componente agroforestal en las huertas de los pobladores ribereños las demás especies no están reportadas como especies que son sembradas y cultivadas.
Para el caso de las flores, que también es un mercado creciente tanto a nivel local, nacional e internacional, las flores tropicales están entrando al mercado extranjero y con buenas perspectivas debido a la nitidez de sus colores y a la duración de las flores especialmente el grupo de las Heliconias que flores silvestres y que desde fines del siglo pasado se están incrementado las áreas de cultivo para abastecer la demanda por ahora local.
Las plantaciones en zonas inundables se explica por la riqueza de los suelos y la mayoría requiere zonas húmedas como las heliconias algunos helechos, dalias margaritas, cresta de gallo entre otros.
En el caso de las heliconias que son las mas cotizadas por su variedad alrededor de 12 especies diferentes, su coloración nítida e intensa y su durabilidad hace que la demanda por estas especies se incrementen especialmente en fechas claves como las festividades cívicas y religiosas. Rojas, R (2005), reporta una serie de especies que se cultivan en las zonas de islas de Muyuy, cuya lista se indica en un cuadro líneas abajo.
Las especies que crecen y que están siendo cultivadas en zonas inundables se muestran en el cuadro 7.
En la siguiente asignatura sobre usos de las zonas inundables se reportara mayores detalles sobre los diferentes tipos de cultivo de las zonas inundables
Otras especies vegetales que se están estableciendo en las zonas inundables son especies maderables como cedro y caoba, cuyas bondades como madera fina no es necesario mencionar por que es ampliamente conocido en el mundo.
Los bosques de las zonas inundables están empobrecidos por la ausencia de estas especies especialmente caoba, con el fin de dar a conocer los costos y mantenimiento de plantaciones de estas dos especies se mencionada en cuadros especificando cada uno de los rubros que se deben considerar al hacer los tos y presupuestos para las personas o empresarios que desean realizar plantaciones de estas dos especies en zonas inundables.
MANEJO DE PRIMATES EN ISLAS
El manejo de primates en islas en la amazonía peruana se originó como un programa de investigación en 1975, por el interés biomédico sobre los primates neotropicales por parte de la Organización Panamericana de la Salud (OPS). Luego se convirtió en proyecto de manejo de primates en islas y el monitoreo de las poblaciones en las zonas naturales donde se habían realizado sacas en forma periódica IVITA (2001).
Inicialmente el proyecto tuvo como política nacional lo siguiente:
- Asegurar la protección de los primates a nivel nacional, proponiendo con este fín, normas legales para el desarrollo de las unidades de conservación, así como el establecimiento de nuevas áreas protegidas.
- Desarrollar acciones de conservación de primates mediante su investigación y manejo en áreas naturales, en semi cautiverio y en cautiverio, así como estudiando sus interrelaciones ambientales con la flora, la fauna y el hombre, a fín de lograr su uso racional, integral y sostenido.
Los objetivos del proyecto en términos generales estaba orientado a la conservación y el manejo de los primates no humanos en el Perú, pero en forma específica se clasificaron en tres líneas de acción:
a. De Evaluación e Investigación:
- Realizar investigaciones sobre taxonomía y distribución geográfica de los primates
- Estudiar y evaluar las poblaciones de primates con fines de protección, conservación, utilización en investigación biomédica y difusión científico-cultural, desarrollando estudios sobre biología, fisiología, sanidad y crianza.
- Realizar estudios para determinar el impacto de las actividades del hombre sobre las poblaciones de primates.
- Determinar la prevalencia de la zoonosis en primates, a fin de recomendar medidas preventivas de salud pública.
b. De conservación y Manejo
- Contribuir a la normatividad para la protección, conservación y manejo de los primates.
- Apoyar el desarrollo de las unidades de conservación y recomendar el establecimiento de nuevas áreas de protección y manejo, así como el establecimiento de centros de reproducción en áreas prioritarias para investigación, repoblamiento y uso racional, desarrollando y/o adaptando tecnologías apropiadas.
- Apoyar la protección de otras especies amenazadas, de la fauna silvestre de uso biomédico o de importancia económica.
c. De Educación, Capacitación y Extensión
- Divulgar la importancia de los primates y de otras especies de flora y de fauna silvestres, como recursos naturales renovables.
- Difundir y publicar los objetivos, metas y resultados del Proyecto.
- Incentivar y auspiciar la capacitación de los profesionales y técnicos
- Aportar alternativas al desarrollo del medio rural, en concordancia con programas de ecodesarrollo.
- Fomentar la creación de bibliotecas y museos especializados en primatología.
Las principales especies que han sido estudiadas son:
- Saguinus mystax mystax
- Saguinus labiatus labiatus
- Saguinus fuscicollis nigrifrons
- Saguinus fuscicollis lagonotus
- Saguinus fuscicollis illigeri
- Saguinus fuscicollis fuscicollis
- Saguinus fuscicollis weddelli
- Cebuella pygmaea
- Samiri sciureus macrodon
- Saimiri boliviensis peruviensis
- Aotus nancymai
- Aotus vociferans
- Aotus nigriceps
- Cebus apella macrocephalus.
- Cebus albifrons
- Alouatta seniculus
- Cacajao calvus
- Lagothrix lagotricha
- Ateles paniscus
- Pithecia monachus
- Callicebus cupreus
- Callicebus torquatus
- Callicebus moloch
Los principales logros del proyecto son los siguientes:
- Conocimiento preciso de la taxonomía, distribución, estado de conservación, ecología, etología y pautas para el manejo y aprovechamiento de las 32 especies de primates presentes en el Perú.
- Establecimiento oficial de un Centro de Reproducción y Conservación de Primates en la ciudad de Iquitos, donde se crían y reproducen unas siete especies de primates de interés biomédico.
- Aprovechamiento de Islas de la cuenca del Río Amazonas para la introducción de algunas especies como Saguinus mystax y S. labiatus, y su consiguiente manejo en semicautiverio.
- Se ha logrado la comprensión y participación de las comunidades isleñas dentro de las acciones de manejo de primates en semicautiverio en las islas, a través de la protección de los primates; del desarrollo de la agrosilvicultura mediante parcelas demostrativas, a fín de detener la agricultura migratoria, y otros beneficios que otorga el proyecto hacia la comunidad en coordinación con otros sectores públicos, como Salud y Educación.
- Protección de especies amenazadas de extinción, mediante el establecimiento y desarrollo de Unidades de Conservación como el Parque Nacional del Manú y la Reserva Nacional Pacaya-Samiria; propuesta de Reservas Comunales en Loreto y Madre de Dios; traslado de primates hacia áreas reservadas; y ejecución de campañas de extensión y difusión a todo nivel sobre la importancia de la conservación de la flora y fauna silvestres para el desarrollo de la Amazonía Peruana.
- Formación de un equipo de profesionales y técnicos del más alto nivel en el campo de la Primatología, cuyos aportes son reconocidos por la comunidad científica.
- Contribución con los centros de investigación científicas a nivel mundial, particularmente en el área de los estudios biomédicos. Esto es de gran relevancia, pues nuestros monos son excelentes modelos para las investigaciones biomédicas, técnicas de cirugía y la producción de fármacos, sueros y vacunas contra la hepatitis viral, malaria, cáncer y SIDA, entre otros males que afectan gravemente la salud humana y animal.
- Generación de tecnología para la crianza en cautiverio y para el manejo de primates en áreas naturales.
- Constituye un modelo para el manejo de fauna silvestre y preservación de su hábitat.
MANEJO DE ROEDORES
A nivel extensivo se han realizado ensayos con dos especies de roedores como el “majaz” Agouti paca y “ronsoco” Hidrochaeris hidrocaheris obteniendo resultados alentadores pero que en el caso del ronsoco la demanda de su carne no es igual que de majas por lo ello los programas de cría en cautiverio de majas resulto exitoso incluso para la crianza en corrales familiares tal como menciona Rengifo et al (2003), donde recomiendan las técnicas de manejo adecuadas para diferentes tipos de crianza del majas en cautiverio.
Bendayán y García (2004), mencionan que el majas ocupa un lugar preponderante en la comercializacion de su carne en los mercados de Iquitos , Nauta y Tamshiyacu provenientes de la extracción en los bosques naturales, por ello es que la crianza de esta especies tiene un mercado asegurado, pero que en las zonas inundables no esta muy difundido su crianza.
Para el caso de ronsoco, Pezo (2005) recomienda el manejo en forma extensiva de las poblaciones de ronsoco presente en las zonas inundables de San Miguel en el Estación de Investigación del IIAP, ya que cuenta con pastos naturales apetecibles por estos roedores.
NACIONALES
Teniendo en cuenta que el Perú es uno de los centros de preocupación mundial, pues concentra la mayor diversidad biológica y el conocimiento de sus componentes e interrelaciones aún es poco conocido, de modo que cualquier actividad humana sobre sus recursos, que aunque está orientado a satisfacer las necesidades de alimentos de una sociedad en constante crecimiento, podría ser incompatible con la conservación de la naturaleza.
En este sentido en 1990 el gobierno peruano decidió ejecutar diversas acciones dentro de su Plan de Acción Forestal compatible con la Estrategia Mundial para la Conservación y el Código del Medio Ambiente y Los Recursos Naturales, las acciones propuestas son las siguientes:
1- Desarrollar una forestería en apoyo al desarrollo rural
2- Apoyar a la producción y conservación de la energía de la biomasa
3- Manejo y desarrollo forestal industrial
4- Apoyo a la conservación de los ecosistemas forestales y el manejo de la fauna silvestre
5- Armonizar las políticas agraria y forestal buscando acciones convergentes para un desarrollo ordenado de los recursos forestales y de fauna silvestre; reforzar la administración forestal a nivel nacional y regional; adaptar la educación y la investigación forestal a los recursos disponibles ya las necesidades actuales del sector.
En los últimos años el gobierno peruano ha promulgado una serie de leyes tendientes al uso de los recursos naturales dentro de estas tenemos:
Ley de Promoción de la inversión privada para la Amazonia.- La cual alienta al uso de algunas especies de flora, fauna silvestre y de recursos hidrobiologicos, no se considera el uso integral de los recursos de los ecosistemas tanto terrestres como acuáticos y prácticamente se deja de lado a los ecosistemas inundables. Esta ley ha permitido que pocos recursos tengan financiamiento con el consiguiente fracaso.
Ley de concesiones forestales. El cual también ha creado una serie de conflictos especialmente de carácter social con las poblaciones indígenas de la Amazonia. La ley contempla que antes de ser explotada las áreas concesionadas los postores debían de presentar el Plan de Manejo con su respectivo Estudio de Impacto Ambiental, documento que ninguno ha elaborado. Estas deficiencias ha motivado que muchas concesiones se hayan declarado nulas con el consiguiente perjuicio para los inversionistas.
En el sector Agrario han establecido como una de las prioridades el manejo de las zonas inundables del llano amazónico pero hasta no hay no se han dado los lineamientos de uso sostenible, por que justamente falta información confiable y modelos establecidos en áreas pilotos.
INTERNACIONALES
Smith, R. (2000), reporta los resultados de la Quinta reunión del Organo de Subsidio de Asesoramiento Científico, Técnico y Tecnológico, realizado en Montreal en Febrero del 200 sobre el Convenio sobre la Diversidad Biológica ha adoptado y hace hincapié sobre la importancia del "Enfoque Ecosistémico" para abordar sus tres objetivos: conservación de la diversidad biológica, la utilización sostenible de sus componentes, y la participación justa y equitativa en los beneficios que deriven de la utilización de los recursos genéticos. Debido a la importancia del tema se hace un resumen del documento sin perder la esencia de la misma.
La definición Enfoque Ecosistémico puede tener diferentes interpretaciones en diferentes escenarios: "manejo ecosistémico", "planificación bioregional", "conservación por ecoregiones", "método ecosistémico", "enfoque bioregional", "proyectos integrales de conservación y desarrollo" (PICD), "gestión de cuencas", y "ordenamiento integral de zonas costeras”. Estas definiciones, refieren todas a un enfoque más comprensible tendiente a crear las relaciones adecuadas entre la gente y los recursos naturales.
UICN – Unión Mundial para la Naturaleza, refiere que El “Enfoque Ecosistémico” representa una visión consensual, que para su realización integra factores ecológicos, económicos y sociales de manera equitativa. En síntesis, el Enfoque Ecosistémico busca el balance entre la conservación y uso sostenible de los recursos naturales, junto a la participación equitativa en los costos y beneficios.
El Enfoque Ecosistémico es una respuesta a las limitaciones resultantes de la concentración en áreas particulares de la conservación, tales como especies o áreas protegidas, elementos clave de la metodología tradicional de la conservación. Sin embargo, el Enfoque Ecosistémico no constituye un substituto para estos enfoques tradicionales, que continúan siendo herramientas esenciales de la conservación.
Sobre el particular se han propuesto las siguientes Metas
Conservación y sostenibilidad. La meta fundamental es lograr la conservación genética de especies, comunidades y ecosistemas en diversos niveles, asegurando que la provisión de bienes y servicios ambientales se realice de manera sostenible y no comprometa a las futuras generaciones.
Equidad. La equidad constituye un tema central de la conservación de la biodiversidad, y la justa y equitativa participación en los beneficios es capital si la conservación de la biodiversidad debe formar parte de la solución de los problemas sociales y políticos.
Puntos Claves
Una serie de puntos clave ha derivado de los principios descriptivos y operacionales definidos y discutidos en Sibthorp, Malawi y otras reuniones. Estos deben ser considerados como básicos para promover la elaboración de directrices de mayor carácter nacional o regional que permitan la aplicación práctica del Enfoque. ! Los ecosistemas son unidades funcionales.
El Enfoque Ecosistémico busca mantener la diversidad biológica como componente crítico para la protección de ecosistemas contra disturbios excesivos, de manera que sustenten el funcionamiento e integridad ecológica. Los ecosistemas son dinámicos en tiempo y espacio, pero su elasticidad tiene límites que necesitan ser definidos para que la utilización humana resulte sostenible. ! Los ecosistemas no son aislados. Los ecosistemas que definimos en pensamiento no son sistemas cerrados, también se superponen, entrelazan e interactuan unos con otros. El enfoque requiere una perspectiva amplia y reconocer que la complejidad y funcionamiento de un ecosistema en particular está significativamente influenciado por los sistemas de su entorno.
Reconocimiento de que los cambios son inevitables. El Enfoque Ecosistémico reconoce la heterogeneidad de los factores socioculturales que afecten la utilización de los recursos, y que estos también podrán variar en el tiempo. Los ecosistemas poseen múltiples potencialidades para el futuro que resultan inciertas, por lo tanto su gestión deberá ser flexible y adaptable.
Los niveles de gestión son sectoriales. La clara identificación de los niveles apropiados de espacio tiempo es vital para el éxito del enfoque. Las agencias gubernamentales, ONGs y comunidades locales serán involucradas en todos los niveles, en el trazado de los límites de la gestión. Además de los sistemas ecológicos y sociopolíticos del área, se dará especial atención a las políticas internacionales, estructuras de inversión e influencias ambientales externas. Los límites típicos deberán ser transversales a temas sociopolíticos y de uso de la tierra.
Los seres humanos son componentes del ecosistema. El Enfoque Ecosistémico valoriza el papel activo del factor humano en el logro de las metas de la gestión sostenible, y reconoce su fundamental influencia sobre, y como parte integral de, los ecosistemas. La gestión debe enfocar tanto la humanidad como a las influencias físicas sobre el funcionamiento de un ecosistema.
Como aplicar el Enfoque eco sistémico
Enfoque pluralista en las decisiones sobre la información. Las decisiones administrativas dentro del enfoque, se alimentan de información de origen multidisciplinario. Además de la mejor ciencia ecológica, social y económica disponible, el Enfoque Ecosistémico reconoce y valora las formas no científicas de conocimiento provenientes de sistemas, iniciativas y prácticas de comunidades indígenas y locales. Las decisiones entonces, se basan en la interpretación transversal de las fuentes multidisciplinarias; el Enfoque Ecosistémico no solo considera sino busca soluciones armónicas que resuman la disparidad de fuentes de conocimiento. El enfoque trata todos los sectores relevantes de la sociedad y respeta la diversidad de estilos de vida reconociendo los diferentes valores sociales, económicos y ecológicos vinculados a los ecosistemas y los diversos beneficios potenciales de su gestión.
Manejo adaptativo. El manejo será interpretado como experimental. La incorporación de resultados de acciones previas permitirá a los administradores permanecer flexibles, adaptarse a la incertidumbre, evaluar el significado de las variaciones, y establecer mecanismos apropiados para reconsiderar periódicamente las metas y objetivos de proyectos, y métodos para alcanzarlos. El manejo deberá tener metas a largo plazo, aunque además deberá proveer indicadores adecuados para monitorear los cambios a corto plazo originados por la naturaleza dinámica de los ecosistemas. Además, los progresos generados por la gestión serán monitoreados y revisados a largo plazo para diferenciar las fluctuaciones efímeras de cambios permanentes.
Promoción para involucramiento de las partes interesadas. El Enfoque Ecosistémico involucra y compromete a todos los sectores relevantes de la sociedad y disciplinas científicas. Esto requiere la temprana participación de las partes interesadas, más allá de su peso político, en el proceso de planeamiento y toma de decisiones. Se disponen mecanismos de cooperación y oportunidades de capacitación de manera que las partes interesadas sean informadas y comprometidas en el proceso de identificación de temas, consideración de opciones, selección de soluciones, y monitoreo y evaluación de resultados. Las políticas aseguran que la cooperación sea para las partes un tema de interés en sí, requiriendo a veces la descentralización de poderes para alentar la participación de las partes interesadas.
Cooperación y colaboración política, sectorial e institucional. Los ecosistemas abarcan a menudo más de una frontera geográfica, jurisdiccional y política. Por lo tanto, se necesita cooperación transfronteriza e intersectorial para asegurar que las decisiones resulten en acciones de sostenibilidad. Esto requerirá un cambio orgánico, nuevas alianzas y asociaciones entre gobiernos centrales y locales, el sector privado, comunidades indígenas y locales, y ONGs.
Desafíos en la implementación del enfoque ecosistémico
El Enfoque Ecosistémico no es el único método para implementar el CDB, y aunque resulte muy útil para las Partes, será necesario no invocarlo como una alternativa a los sistemas tradicionales de gestión y metodologías de conservación, como áreas protegidas y recuperación de especies. El Enfoque Ecosistémico deberá incorporar estos aspectos como una opción holística e integral de gestión de recursos. En recientes discusiones se han identificado diversos desafíos científicos, informativos, institucionales, educativos, sociales y económicos para el Enfoque Ecosistémico: La aplicación incondicional y enfoque limitado al funcionamiento procesos del ecosistema pueden desembocar en la pérdida de especies de importancia cultural, económica y científica.
Los incentivos económicos perversos que promueven la sobreexplotación y/o degradación ambiental, o de precios inapropiados de bienes y servicios provistos por los ecosistemas, que pueden impedir la gestión eficaz. El enfoque podría requerir conocimientos sobre estado y dinámica de los aspectos ecológicos e institucionales del ecosistema que aun no existan.
El enfoque podrá confrontar riesgos e incertidumbres generados por la naturaleza dinámica de los diversos sistemas que intenta administrar.
El enfoque podrá requerir mayor cooperación interdisciplinaria y entre agencias, que resultan normales para agencias gubernamentales modernas, que estará organizado sectorialmente. A menudo, la política, el poder y la equidad son los temas más importantes en el planeamiento regional, donde la ecología contribuye escasamente.
El enfoque tiende a operar en diferentes niveles que superan a otros tipos de utilización humana, creando serios impedimentos para lograr intervenciones exitosas. Existen además, intereses institucionales profundamente arraigados difíciles de modificar, que requieren tratamiento a largo plazo.
El enfoque requiere amplia colaboración, pero muchos sitios se caracterizan por falta de confianza y escasa comunicación entre las partes interesadas, diferencias de poder significativas entre ellos, y el problema de los intereses locales e individuales versus intereses mayoritarios de la sociedad.
La administración de recursos múltiples, con objetivos quizás incompatibles, requiere la inmediata identificación de compensaciones que deben realizarse. Acordar estas compensaciones entre las partes en conflicto puede resultar un proceso largo y costoso.
A menudo, los costos y beneficios resultantes de la gestión de los recursos son distribuidos injustamente, y la sociedad carece de mecanismos institucionales para remediarlo.
El enfoque requiere numerosas reformas radicales, entre ellas, la prioridad de las inversiones, y en particular las referidas a las estructuras de administración de los recursos naturales. Las limitaciones presupuestarias son típicas en las agendas administrativas, por ello las inversiones deben ser adecuadamente dirigidas para realzar la potencialidad del enfoque.
Las diferencias culturales y desigualdad de poderes caracterizan a los diversas partes interesadas, impidiendo la normal cooperación.
El incremento de la demanda de recursos puede crear presiones insostenibles sobre la utilización indígena o local de los mismos. Mecanismos para superar los desafíos Para responder a los desafíos identificados, existen mecanismos que pueden ser utilizados para vencerlos y contribuir a la implementación del Enfoque Ecosistémico.
Estos incluyen:
Desarrollar metodologías para evaluar el funcionamiento de los ecosistemas y evaluar los beneficios derivados hacia el público, manteniendo a la vez las condiciones necesarias para la conservación de la biodiversidad.
Desarrollar una fuente global de datos, actualizada y comprensible, sobre estado y gestión de ecosistemas.
Redistribuir costos y beneficios para reflejar adecuadamente los esfuerzos de gestión.
Revisar de manera crítica todos los subsidios que afecten la tierra y los recursos.
Crear incentivos ambientales para promover acciones positivas entre las partes interesadas.
Implementar mecanismos regulatorios para reducir impactos adversos.
Promover la cooperación entre las autoridades, a través de la participación de múltiples agencias, en los proyectos interdisciplinarios para la administración de recursos naturales. Desarrollo de un marco para la implementación La elaboración de proyectos, dentro de niveles apropiados, deberá incluir al menos los siguientes componentes:
Definir los actuales conocimientos tradicionales, y métodos y objetivos de gestión a escala regional.
Elaborar metas y objetivos claros.
Identificar, comprometer y ponderar las contribuciones de las partes interesadas en todos los procesos de planeamiento y toma de decisiones.
Definir unidades de manejo (y capacidad administrativa) dentro del contexto ecológico, social, económico y político.
Buscar acuerdos sobre derechos de propiedad adecuados.
Idear estrategias de implementación adecuadas para el logro de objetivos, utilizando tecnologías que permitan minimizar riesgos e incertidumbres en el manejo.
Crear una sólida agencia de coordinación con autoridad sobre los órganos de ejecución y la habilidad de proveer incentivos eficaces para la conservación.
Disponer medidas para la gestión cooperativa y transferencia de información entre todos los grupos relevantes de gobierno, ONGs, indígenas, comunidades locales y de interés privado.
Proveer apoyo administrativo adecuado en el terreno, incluyendo disposiciones para la observancia efectiva de la ley, seguimiento de rutina, gestión de la investigación relevante, retroalimentación y solución de problemas.
Integrar la organización y planeamiento de proyectos dentro de las instituciones oficiales locales existentes, y en los procesos de planificación de presupuesto y desembolso de fondos.
Descentralizar las estructuras de implementación para mejorar la participación y responsabilidad de las partes interesadas, promoviendo la flexibilidad de la gestión para incorporar cuestiones específicas de sitio o cambios durante la ejecución de proyectos.
RECOMENDACIONES DE LA UICN
Aliente el desarrollo de actividades “sobre el terreno” destinadas a compartir experiencias y derivar lecciones sobre la aplicación de del Enfoque Ecosistémico en diferentes contextos sociales, económicos y ecológicos; a través de acciones para:
Suscitar conciencia sobre el funcionamiento y valor resultante de los ecosistemas, tanto para el público como para la diversidad biológica;
Explorar métodos para medir los beneficios del ecosistema y definir integridad del ecosistema;
Examinar métodos para lograr visiones comunes entre los diversos intereses sectoriales; y
Definir métodos para medir y monitorear acciones y progresos.
Considere que los ejercicios antes mencionados, si utilizados colectivamente, pueden ser útiles para la elaboración de directrices prácticas en el ámbito nacional, regional o aplicación directa sobre los problemas.
Aliente la diseminación de experiencias surgidas de la implementación de proyectos pioneros del Mecanismo de Facilitación del CDB;
Recomiende la creación de capacidades en el ámbito nacional y regional para facilitar la implementación del Enfoque Ecosistémico; y
Instruya al mecanismo de facilitación para el financiamiento proyectos que adopten e implementen el Enfoque Ecosistémico para alcanzar los tres objetivos del Convenio.
La UICN, en particular a través de su Comisión sobre Manejo de Ecosistemas, se complacerá en contribuir ulteriormente en la elaboración e implementación del Enfoque Ecosistémico.
Existen otras convenciones y acuerdos como el de RAMSAR, que esta ligado específicamente a las zonas inundables pero que se considera que con los acuerdos del Convenio de Diversidad Biológica cubre ampliamente y que por tanto seria un tanto repetitivo, lo mas importante en este caso es el enfoque que deben tener los proyectos de conservación de la diversidad biológica con como unidades de conservación sino como una forma de uso sostenible de los recursos.
De todos los proyectos de manejo de recursos de flora y de fauna analizados en este documento se puede concluir en las siguientes afirmaciones:
- Existen experiencias con relativo éxito en el aspecto social, económico y ecológico, que pueden ser adaptados a condiciones similares de la Amazonia.
- El numero de especies de flora que pueden ser manejados es alentador tanto como alimento, medicina y como madera.
- Los proyectos de conservación y manejo se han orientado a pocos recursos teniendo en cuenta la potencialidad de los mismos.
- Existen poca información sobre los costos y beneficios de uso sostenible de la diversidad biológica de zonas inundables.
- Hay pocas experiencias exitosas en cuanto al manejo de especies de fauna silvestre en zonas inundables.
- El aspecto social es un aspecto secundario o se ha incluido en forma forzada en los proyectos.
- Existen lineamientos de política que orientan el manejo adecuado de los recursos pero no existe el recurso económico para su implementación en los países en desarrollo
- Ningún proyecto en ejecución en zonas inundables considera el enfoque ecosistémico o algo similar en su planificación y ejecución.
Los planes de manejo y conservación de algunos recursos de flora y fauna en las zonas inundables no han tenido el éxito deseado debido desde mi punto de vista a los siguientes factores:
1. No se ha considerado una zonificación ecológica económica del área donde se desarrolle el proyecto, por lo tanto desconocen el potencial de recursos y sus limitaciones de uso, dando como resultado en algunos casos conflictos de uso. Esta parte de la planificación es importante tal como menciona Albernaz et al (2004). Donde indica científicamente las ventajas de la zonificación y concuerda plenamente con el enfoque ecosistémico.
2. Para la elaboración de los planes se ha considerado mas importante la dinámica de los recursos de flora o de fauna que la dinámica social de los pobladores interesados en participar del proyecto o que se ha incluido como trabajadores y después como grupos de interés, por lo tanto los progresos en los proyectos no van con la misma velocidad con que se desarrollan las plantas o se desenvuelven los animales. El poblador ribereño tienen su propia dinámica y su cosmovisión es muy diferente al nuestro y si no se comprende esta parte los proyectos solo tendrán éxitos científicos pero no sociales y económicos que se desea para la conservación de la diversidad biológica.
Un ejemplo de esto es el proyecto camu camu, planificado solo para la producción de pulpa se promociono el cultivo, se dieron miles de créditos, que no se recuperaron por que el proyecto considero que todos los pobladores ribereños tienen la misma idiosincrasia y que todos se dedicarían a sembrar plantas de la especie requerida sin embargo no fue como se esperaba, debido a que las personas conocen muy bien su medio ambiente y les exigían que siembren en zonas que no es apto par dicho cultivo.
Por lo tanto los resultados se orientaban al fracaso, las personas que recibieron el crédito no fueron seleccionados adecuadamente.
3. Los proyectos de manejo de recursos no han tenido Estudios de Impacto Ambiental–EIA, por lo tanto no han tenido los criterios suficientes para disminuir los impactos negativos de algunos proyectos, como el caso del camu camu cuyo mayor efecto fue la deforestación en los bosques de tierra firme, y en un menor porcentaje en zonas inundables, pero es que sale de la lógica de la conservación de la diversidad biológica, por que se desbrozado cientos de has, afectando a cientos de especies para sembrar solamente una, conociendo que en la Amazonia baja es decir en el llano amazónico no prosperan los monocultivos por que la naturaleza es de alta diversidad.
4. El enfoque ecosistémico que precisa mucho mejor los conceptos de la sustentabilidad para el uso y conservación de la diversidad biológica en las zonas inundables y tierra firme, necesita de una formación en todos los niveles sociales desde los personajes que toman decisiones hasta la población en general y esto tiene un proceso de varios años, mientras tanto con seguridad que continuaran agrediendo al medio ambiente no por el deseo de los pobladores rurales sino por el desacierto de las autoridades de los gobiernos regionales y locales en fomentar actividades agrícolas de monocultivo, cuando parte de la solución es la agroforesteria, cuyos modelos exitosos existen y pueden tomarse como referencia. Mientras se siga tomando modelos que son validos para otras realidades la conservación de estos valiosos recursos será cada vez mas difícil.
5. A pesar de los logros obtenidos en el manejo de una o dos especies en las zonas inundables, sin embargo se pueden establecer zonas pilotos donde se aplique los fundamentos del nuevo enfoque con aquellas personas o grupos familiares que tengan ascendencia dentro de sus comunidades y que además sean exitosos en sus actividades en relación al resto. Iniciar la actividad con un EIA que cuente con línea base, con el fin de conocer sus potencialidades especialmente en el aspecto social conocer de antemano cual es la predisposición de las personas a participar en este tipo de actividades y “aprender haciendo”, una buena alternativa es investigar sistematizar la información haciendo y corrigiendo en el lugar de los hechos no en parcelas pequeñas como sucede en los centros de investigación donde todo se puede controlar mientras que en áreas mayores la situación es totalmente diferente, por que en materia de recursos de flora especialmente maderables se debe aprovechar la regeneración natural para la recuperación de hábitat evitando traer semillas o plántulas de zonas diferentes por el riesgo que supone la introducción de estas como fue analizado por Sackville (2001), ya que las adaptaciones pueden durar mucho tiempo o simplemente no soportan inundaciones como sucede con el “cedro” Cedrela odorata hay variedades que no toleran las inundaciones por tiempos largos es decir mas de treinta días, especialmente de aguas blancas, este proceso ya fue explicado en anteriores asignaturas.
De acuerdo a la información disponible existes mas de ochenta especies de flora que el autor ha identificado como especies que se están cultivando pero en pequeña escala. El diseño de sistemas de cultivo que incluya a la fauna silvestre requiere dos aspectos fundamentales: un poco de arte para simular situaciones naturales copiando del medio adyacente, para establecer sistemas de producción a corto, mediano y largo plazo. Y de ciencia para conocer las interrelaciones entre los elementos del sistema que se propone para cada situación en particular, ya que las zonas inundables tienen sus efectos en el ambiente acuático durante las crecientes de las aguas de los ríos.
6. El aspecto económico como siempre juega un papel importante, la mayoría de los proyectos de desarrollo para establecer modelos de uso sostenible no tiene financiamiento de largo plazo, debido al parecer que solo se considera el crecimiento vegetativo de las plantas y animales promisorios de crecimiento rápido, teniendo en cuenta que los procesos sociales tienen su propia dinámica debe tenerse en cuenta principalmente el aspecto social. En la actualidad estos procesos son mas difíciles debido a que los pobladores ribereños tanto indígenas como no indígenas han sido engañados muchas veces, los diferentes gobiernos e instituciones y ONGs han creado expectativas que en la mayoría de los casos no han cumplido, revertir esta situación como es de suponer requiere tiempo y dedicación con personal que conoce y es reconocido por la gente de los grupos de interés.
Otro aspecto que no mencionan los proyectos pero que es fundamental es el personal técnico que participa en los proyectos de fomento de uso y conservación de los recursos naturales, en la mayoría de los casos son bisoños y cuando están con cierto de nivel de preparación producto de la practica de campo muchas veces son cambiados por asuntos políticos y no técnicos, lo que ocasiona nuevos atrasos.
Por lo tanto es fundamental asegurar el financiamiento adecuado para realizar unidades piloto donde se pueda realizar todas las actividades previas que se han sugerido en el presente documento y con el seguimiento permanente y supervisión asistida por parte de los organismos internacionales comprometidos con la conservación de la diversidad biológica a fin de tomar como uno de los modelos para realidades similares en el planeta, por lo tanto seria importante conjugar esfuerzos conjuntos y efectivos para obtener resultados exitosos por el bien de los recursos naturales y el planeta.
En la presente asignatura no se considera a las áreas naturales protegidas debido a que los programas de conservación son pasivos y la mejor manera de conservar a las especies es manejándolos, y de esta manera se conserva la variabilidad genética. Además las áreas naturales protegidas están permanentemente explotados por pescadores y cazadores furtivos así como la tala ilegal de maderas especialmente en las que se ubican en el llano amazónico.
El proyecto BIODAMAZ convenio Perú-Finlandia, ha iniciado un plan piloto que todavía es incipiente por razones de presupuesto, pero que si continua de acuerdo a la formulación del proyecto teniendo en cuenta el enfoque ecosistémico puede obtener los logros esperados en el mediano plazo.
Aguilar, M.Z. 2005. The Influence of the Haorani, people in the ecology of “Ungurahua palm” (Oenocarpus bataua, ARECACEAE) in the Ecuadorian Amazon.V Congreso Nacional de Botánica, Loja . Ecuador.
Aguilar,S.; Ramírez,J.; Chiriboya,F.; Tonitana,F., y Malagon, O. 2005. Estudio de especies no maderables de la Provincia de Loja con interés en la elaboración de Papel Artesanal. V congreso Nacional deBotánica. Loja. Ecuador.
Albernaz, A.M.; Pressey, R.L; Ridges, M.,y Watts, M. 2004 Bases Cientificas para a Conservaçao da varzea: Identificaçao e caracterizaçao de regiones biogeográficas e de áreas prioritarias para a conservaçao. Projeto Varzea. Belem, Para, Brasi.
Angulo, J. 2005. Informe del estudio molecular del aguaje. Facultad de Ciencias Biológicas, UNAP Iquitos, Perú
Añazco, M. 2005. Productos forestales no madereros en el Ecuador... una aproximación a su diversidad y usos. III Congreso de la Biodiversidad de los andes y de la Amazonía. Loja, Ecuador.
Bendayan, N.Y y Garcia, J. 2004. Importancia socioeconómica de la carne de monte en la región Loreto. Tesis de maestría. UNAP. Iquitos, Perú.
García, G.; Pezo, R., y Tello, H. 2005. Estudio de Prefactibilidad del Área Piloto. Biodamaz, IIAP. Iquitos. Perú.
Http:agronegocios.gob.sv/como producir/guias/cedro.pdf 05-11-05 Kvist, L.P. 2005. Identificación y Evaluación de plantas usadas para malaria y Leishmaniasis en Loreto. Perú. V Congreso de Botánica. Loja. Ecuador.
Pinedo, M., 2003 . Cultivo de Camu camu Myrciaría dubia, en la zona de San Miguel. Informe Técnico, IIAP, Iquitos, Perú.
Pezo, R. (2005). Informe Técnico, Uso y conservación de la Diversidad Biológica en Ecosistemas Inundables de San Miguel, BIODAMAZ,-IIAP Iquitos, Perú.
Rengifo, M., y Navarro, D. 2003. Crianza de majas en cautiverio en el centro de crianzas de la UNAP, río amazonas. Iquitos. Perú
Rojas, R. 2004. Estudio de los huertos familiares de los pobladores de la zona de Muyuy. Iquitos, Perú.
Sackville,H.N. 20021. Is Local Provenance Important in Habitat Creation ?. a replay. Journal of Applied Ecology 38, 1374, 1376. UK.
Tello, R., y García, A. 2003. Inversión y Generación de empleo mediante la Comercialización sostenible de Plantas medicinales amazónicas en el Centro Herbolario Pasaje Paquito, Iquitos. Tesis de Maestría, UNAP, IQUITOS, Perú.
UICN. 2000. Quinta Reunión del Órgano Subsidiario de Asesoramiento Científico, Técnico y Tecnológico. Montreal, Canadá.
Utreras, V.; Suarez, E.; Pinos, L., y Lasso, G. 2005. Estimación del área de vida de la nutria gigante (Pteronura brasiliensis) durante la época seca y lluviosa en el Parque Nacional Yasuní, Ecuadro. III Congreso de Conservación de la Biodiversidad de los Andes y de la Amazonía. Loja. Ecuador.
|
|
|
Inicio | Ingles | Portugese | Chino | Frances | Cursos el Linea | Cursos Disponibles | Demonstracion de Curso | Centro de Avance Profesional | Entrevista Laboral | Escribir un Curiculum de Vida o Resume | Acreditacion | Areas de Estudio | Programas de Licenciatura Pregrado | Programas de Maestria | Programas de Doctorado | Planes de Estudio y Temario | Derechos Humanos | Bibilioteca en Linea | Link Exchange | 54 Milliones de Registros | Sala de Prensa | Nueva Imagen | Publicaciones Acceso Abierto | Publicaciones Estudiantiles html | Graduados | Egresados | Patrocinadores | Informacion General | Mision y Vision | Escuela de Negocios y Economia | Escuela de Sciencias e Ingenieria | Escuela de Estudios Humanos y Sociales | Pagina de Videos | Requisitos de Admisiones | Colegiatura | Solicitud de Ingreso | Facultad y Consejeria Academica | Educacion a Distancia | Testimonios de Estudiantes | Preguntas Frequestes
Copyright © 2011 de la Universidad del Atlántico Internacional. Todos los derechos reservados. Política de Privacidad.
![]() |

